პიგმენტი ყვითელი 97
Pigment Yellow 97 is a bright, durable yellow pigment commonly used in coatings, inks, plastics, and paints. Known for its excellent lightfastness, weather resistance, and non-toxic properties, it offers vibrant color with high opacity. This pigment provides superior color strength and is often chosen for applications requiring consistent, high-quality yellow hues. It’s widely used in industrial sectors such as automotive, textiles, and packaging, offering a reliable and long-lasting color solution. Pigment Yellow 97 is valued for its versatility, environmental safety, and ability to maintain color integrity even under harsh conditions.
| სინონიმები | CIPigment ყვითელი 97; CIPY97; PY97; PY97 |
| CI ნომერი | 11767 |
| CAS ნომერი | 12225-18-2 |
| ევროკავშირის ნომერი | 235-427-3 |
| Მოლეკულური ფორმულა | C26H27CINN4O8S |
| ქიმიური ოჯახი | მონო აზო |
| ფერი | ![]() |
| ფერების განაწილება |
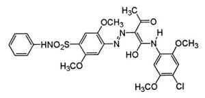
მოლეკულური სტრუქტურა:

პიგმენტი ყვითელი 97 ფიზიკური, ქიმიური და გამძლეობის თვისებები
| Მოლეკულური წონა | 591.08 |
| PH ღირებულება | 7.5 |
| სიმკვრივე | 1.5 |
| ნავთობის შეწოვა (მლ / 100 გ)% | 45 |
| მსუბუქი სისწრაფე | 7 |
| სითბოს წინააღმდეგობა | 200 (°C) |
| წყლის წინააღმდეგობა | 5 |
| ნავთობის წინააღმდეგობა | 4 |
| მჟავა წინააღმდეგობა | 5 |
| ალკალის წინააღმდეგობა | 5 |
განაცხადი
პიგმენტი ყვითელი 97 პოულობს გამოყენებას სხვადასხვა ინდუსტრიაში მისი ცოცხალი ყვითელი ფერის გამო. ზოგიერთი გავრცელებული აპლიკაცია მოიცავს:
საღებავები და საღებავები: პიგმენტი ყვითელი 97 გამოიყენება საღებავებისა და საფარის ფორმულირებაში დეკორატიული და დამცავი მიზნებისთვის. ის შეიძლება ჩაერთოს წყალზე დაფუძნებულ ან გამხსნელზე დაფუძნებულ საღებავებში ყვითელი შეფერილობის უზრუნველსაყოფად.
საბეჭდი მელანი: პიგმენტი გამოიყენება ყვითელი საბეჭდი მელნის წარმოებაში ისეთი აპლიკაციებისთვის, როგორიცაა შეფუთვა, პუბლიკაციები და სხვა ბეჭდური მასალები.
პლასტმასები: პიგმენტი ყვითელი 97 ხშირად გამოიყენება პლასტმასის შეღებვაში, მათ შორის PVC (პოლივინილ ქლორიდი), პოლიოლეფინები და სხვა პოლიმერული მასალები. იგი ანიჭებს გამძლე და სტაბილურ ყვითელ ფერს პლასტმასის პროდუქტებს.
ტექსტილი: ტექსტილის მრეწველობაში, ეს პიგმენტი შეიძლება გამოყენებულ იქნას ქსოვილების შესაღებად, რაც აძლევს ყვითელ ფერს ტექსტილსა და ტანსაცმელს.
ჭავლური მელანი: პიგმენტი ყვითელი 97 შეიძლება გამოყენებულ იქნას ჭავლური მელნის ფორმულირებაში სურათებისა და ტექსტის დასაბეჭდად სხვადასხვა სუბსტრატებზე.
არტისტის ფერები: მხატვრებს და ხელოვნების მასალების მწარმოებლებს შეუძლიათ გამოიყენონ პიგმენტი ყვითელი 97 ზეთის საღებავების, აკრილის, აკვარელის და სხვა მხატვრული საშუალებების წარმოებაში.
სხვა აპლიკაციები: პიგმენტი ასევე შეიძლება გამოყენებულ იქნას სხვადასხვა აპლიკაციებში, სადაც სასურველია სტაბილური და ცოცხალი ყვითელი ფერი, როგორიცაა კოსმეტიკური საშუალებების, რეზინის პროდუქტებისა და სპეციალიზებული საფარების შეღებვა.
Დაკავშირებული ინფორმაცია
Pigment Yellow 97 is a hydroxyl-containing polycarboxylic acid that is used in the production of paints and plastics. It has an oxidation potential of +0.6 volts, which indicates that it is reactive. Pigment Yellow 97 has an absorption maximum at 526 nm and a molecular weight of 317.09 g/mol. The chemical structure of Pigment Yellow 97 consists of a molecule with a reactive carboxyl group and a reactive hydroxyl group, as well as an intramolecular hydrogen bond between the two groups. This pigment also forms coordination complexes with metals such as iron oxides to form particle pigments or mixtures with glycol esters to form solid particles or dispersions, respectively.
სახელები და იდენტიფიკატორები
IUPAC დასახელება: N-(4-ქლორო-2,5-დიმეთოქსიფენილ)-2-[[2,5-დიმეთოქსი-4-(ფენილსულფამოილ)ფენილ]დიაზენილ]-3-ოქსობუტანამიდი
InChI=1S/C26H27ClN4O8S/c1-15(32)25(26(33)28-18-12-20(36-2)17(27)11-21(18)37-3)30-29-19- 13-23(39-5)24(14-22(19)38-4)40(34,35)31-16-9-7-6-8-10-16/h6-14,25,31H, 1-5H3,(H,28,33)
InChIKey: WNWZKKBGFYKSGA-UHFFFAOYSA-N
კანონიკური SMILES: CC(=O)C(C(=O)NC1=CC(=C(C=C1OC)Cl)OC)N=NC2=CC(=C(C=C2OC)S(=O)(= O)NC3=CC=CC=C3)OC
გამოთვლილი თვისებები
| Საკუთრების სახელი | ქონების ღირებულება |
| Მოლეკულური წონა | 591.0 g/mol |
| XLogP3-AA | 4.6 |
| წყალბადის ბონდის დონორთა რაოდენობა | 2 |
| წყალბადის ბონდის მიმღების რაოდენობა | 11 |
| ბრუნვადი ბონდის რაოდენობა | 12 |
| ზუსტი მასა | 590.1238127 Da |
| მონოიზოტოპური მასა | 590.1238127 Da |
| ტოპოლოგიური პოლარული ზედაპირის ფართობი | 162 Ų |
| მძიმე ატომების რაოდენობა | 40 |
| ფორმალური გადასახადი | 0 |
| სირთულის | 974 |
| იზოტოპური ატომების რაოდენობა | 0 |
| განსაზღვრული ატომური სტერეოცენტრის რაოდენობა | 0 |
| განუსაზღვრელი ატომის სტერეოცენტრის რაოდენობა | 1 |
| განსაზღვრული ბონდის სტერეოცენტრის რაოდენობა | 0 |
| განუსაზღვრელი ბონდის სტერეოცენტრის რაოდენობა | 0 |
| კოვალენტურად შეკრული ერთეულების რაოდენობა | 1 |
| ნაერთი კანონიზებულია | დიახ |











